2020年12月15日中午,根据红旗学堂秋实系列活动课堂安排,铁道通信与信号学院学生党支部组织全体入党积极分子于厚德厅观看电影《夺冠》。
电影开始前,刘珊珊老师首先发言,她希望在场的入党积极分子们能够通过观影这种形式去领悟学习女排精神,进一步了解中国女排的励志故事,弘扬爱国主义精神。


电影《夺冠》主要讲述了中国女排在1981年首夺世界冠军到2019年拿下第十个世界冠军的历程,诠释了几代女排人历经浮沉却始终不屈不挠,不断拼搏的传奇经历。影片深刻阐述了祖国至上,团结协作,顽强拼搏,永不言弃的女排精神。

两个半小时的观影过程中,在座的同学们为女排的坚强拼搏数次留下感动的泪水。影片不仅帮助同学们重温了激昂的历史岁月,更让大家坚定了理想信念,这一点在同学们的观影心得中有所体现。




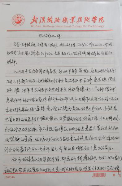
(图为积极分子优秀心得展示)
同学们书写了自己对女票精神的理解,比如“我所认为的女排精神便是未经世事的勇气,坚韧不拔的毅力,受到挫折的不服输,赢了比赛的英姿飒爽,还有时隔多年历经沧桑也不会改变的初心”,同时大家表明要传承女排精神,将这种自强拼搏和爱国信念转化成实际行动,把女排精神融入生活和学习中,不忘初心,砥砺前行。
本次活动为红旗学堂秋实系列的年度压轴活动,通过本次活动,同学们在思想上接受了女排精神的洗礼,也将精神吸收内化,思考当今时代作为后辈当如何传承女排的自强精神,为指导同学们在今后的日常学习和生活中做出了思想引领。